三つの等距離曲線に関するある定理

2つの等距離曲線が 4点で交わっているとき, その交点を通る 2直線を下図のように定める。
(等距離曲線の中心の2直線(下図では灰色)が交わっていれば, その交点を通り, 平行ならば, その両方に直交する直線に直交する。)

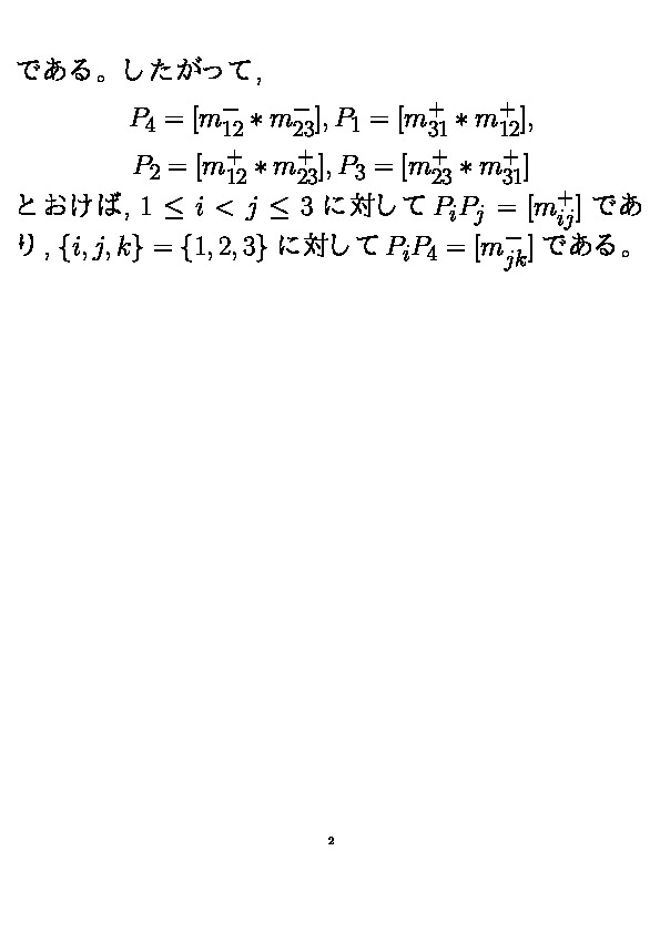
定理 A 双曲平面上に 3つの等距離曲線があり, どの 2つも 4点で交わっているとする。
このとき, 4つの対象 P1, P2, P3, P4 があり, 上記のようにして定まる 6(=3x2)直線PiPj (1 ≦ i < j ≦ 4) である。
等距離曲線の一つを円に置き換えても同様な定理が成り立つ。  
下図の等距離曲線は 1, 2, 3 の数字の横にある点をマウスで動かせば位置が変えられます。

1の半径 : 0.7,  2の半径 : 0.3,  3の半径 : 0.5